第9回 球を過ぎる流れ〜ストークスの流れ〜

6月23日

 

本日の内容と重要な式

 

3-8. 球を過ぎる流れ(Stokes の流れ)

3-8-1. 問題設定:球を過ぎる流れ

3-8-2. Stokes の流れ関数(Stokes's stream function)

3-8-3. Stokes 流れの導出

3-8-4. Stokes 抵抗則

3-8-5. 重力場中の運動

3-8-6. 実験:水飴の粘性率を測る

 

 

本日のレポート問題(締切:6月27日昼)

 

[問題3.3]球が気泡の場合

講義では剛体の球が粘性流体の中を動いてゆくことを考えた。一方で、上の水滴の問題でもそうだが、球も流体でできていることが考えられる。講義とは反対の極端の場合として、気泡のまわりの流れを考えよう。気泡の形は球形のまま崩れないと考える。このとき、流れ関数、抵抗力がそれぞれ次のようになることを示せ。

(ヒント:講義の内容とはでの境界条件が違うだけで、解き方は同じ。今度のでの境界条件はである。)

 

 

講義ノート(3-8-3, 3-8-4)

 

3-8-3. Stokes 流れの導出

 

流れ関数を用いて問題を書き直すことを考える。

 

軸対称な Stokes 近似の式は

である。これに (3.8.9)

を代入すると

(3.8.11)

(3.8.12)

となる。(3.8.11)をで微分し、これから(3.8.12)にをかけてで微分したものを引くことによりを消去すると

(3.8.13)

が得られる。これを解けばよい。

境界条件は

at (3.8.14)

as (3.8.15)

である。

 

さて、今の場合はたまたま変数分離型の解がある。変数分離型の解があるとすれば、境界条件から

(3.8.16)

という形の解があるだろうと考えられる。

 

これを(3.8.13)に代入すると、

(3.8.17)

となる。境界条件は

at (3.8.18)

as (3.8.19)

となる。

 

(3.8.17)の一般解は

の形をしている。

境界条件(3.8.19)より、

境界条件(3.8.18)より、

したがって、

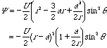
ゆえに流れ関数は

(3.8.20)

となる。これで問題が解けた。

 

速度は流れ関数の定義から、

(3.8.21)

(3.8.22)

となる。圧力は(3.8.20)を(3.8.11)、(3.8.12)に代入して

となることから、

(3.8.23)

と求められる。

 

3-8-4. Stokes 抵抗則

 

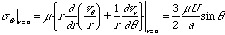
球にはたらく抵抗を求める。そのためには、球表面に働く応力を求める必要がある。

(3.8.24)

(3.8.25)

この応力の成分を球面全体で積分することで抵抗が得られる。

圧力項からの寄与を圧力抵抗と呼ぶ。

剪断応力からの寄与を摩擦抵抗(あるいは粘性抵抗)と呼ぶ。

両方合わせたものが球にはたらく全抵抗である。

(3.8.26)

これが Stokes の抵抗則である。

 

 

実験(3-8-6)

 

3-8-6. 実験:水飴の粘性率を測る

 

実験:ストークス抵抗の性質を確かめ、水飴の粘性を求める

 

 

Stokes 則による粘性率

 

水飴:スドージャム(株)製

重量 85 g、体積 61 ml ゆえ、密度は 1.4 g/cm3

Cf. メスシリンダの重量 60 g

スチールボール:

直径 11.1 mm(大)、7.9 mm(中)、4.7 mm(小)

重量 大は1個あたり 5.59 g

したがって、密度は 7.81 g/cm3

 

 

 

 

 

講義時間に実験をした結果

 

落下距離(cm) 落下時間(s) 落下速度(cm/s)

大玉

中玉

小玉

 

この結果、Stokes 則による粘性

大玉

中玉

小玉

 

落下速度がに比例しているか?何となくしているが、あまりしていない。

 

実は、今の場合、メスシリンダが細いので、壁の影響が大きい。

玉が中心軸上を落下しているとして、壁の補正は以下の補正係数をかけることで行うことができる(「流体力学ハンドブック」p100)。

ただし、(球の径)/(メスシリンダの径)

 

メスシリンダの径が 29mm であることから、径の比は

大玉

中玉

小玉

となる。そこで、補正ファクターは

大玉

中玉

小玉

となる

 

補正後の粘性率

大玉

中玉

小玉